Vector

左手系统有个好处,当屏幕看作最前方时,所有的物体的坐标都是正值
stack vector ,描述一个几何体,也可以没什么含义

向量加减法

向量、点、t 描述粒子的线性运动或者线段或者插值

向量长度

生成单位向量

点积

求模和判断是否平行

投影

判断点 p 与平面 cn 的关系

粒子运动轨迹和圆的碰撞

叉积
垂直,面积
相反
分配律
平行判定

计算三角形的法线和面积

判断点是否在三角形里面


重心坐标,重心坐标插值

Gouraud Shading 重心坐标插值 
四面体体积计算 Tetrahedral

也可以写成 4 * 2 的行列式
负体积的四面体 x3 和底面 normal 同侧为正体积 
四面体的重心坐标

粒子 P 点和三角形是否发生碰撞
P 和三角形组成的四面体体积为 0 时, P 和三角形所在平面发生碰撞
P 点要处在三角形中
Matrix
矩阵
Definition 定义
Transpose 转置
Diagonal 对角
Identity 单位
Symmetric 对称

Multiplication 矩阵乘法 
Orthogonality 正交矩阵 由正交向量构成,即都是单位向量,并且它们之间线性无关。
正交矩阵的逆为它转置
Transformation 可以使用正交矩阵来表示旋转

旋转矩阵就是局部坐标在世界空间中的表示 LocalToWorld Matrix
对角矩阵可以表示三方向的缩放 
Singular Value Decomposition 奇异值分解
在图形学上的解释,对于任意方向的旋转缩放操作,写成的矩阵。可以分解为 旋转到特定方向的正交矩阵 + 三方向缩放的对角矩阵 + 再次旋转的正交矩阵

Eigenvalue Decomposition 特征值分解
在图形学上的解释。对于任意的对称矩阵,可以分解为 旋转到特定方向的正交矩阵 + 特定方向缩放的对角矩阵 + 反向旋转回原方向的正交矩阵。其中对角矩阵里的值就是特征值

Symmetric Positive Definiteness 对称且正定 s.p.d 矩阵被任意向量两边乘后的标量大于 0

正定矩阵的特征值都大于 0
更广的判定方法是对角占优的矩阵也是正定矩阵 正定矩阵都是可逆的

如果 A 是对称且正定的,那么 B 是对称且半正定的

Linear Solver
线性问题 求解 x ,其中 A 是矩阵,b 是边界条件

最直观的解法是求 A 的逆矩阵,还有直接法和迭代法
Direct Linear Solver 直接法,LU 分解

如果 A 是稀疏的,LU 不一定稀疏

Iterative LInear Solver 迭代法逼近
系数 * 迭代矩阵 * 残差

迭代法 M 需要容易求解,可逆

简单
不要求精确解
容易并行
需要有收敛性
速度慢
Tensor Calculus
一阶导 1st-Order Derivatives
对向量的求导,求偏导

梯度 :gradient 方向,等高线的最快上升方向,上升速度
一阶导拓展

雅可比矩阵 : Jacobian
散度:Divergence,雅可比矩阵对角和
旋度:Curl
二阶导

Hessian 的对角是拉普拉斯,注意符号
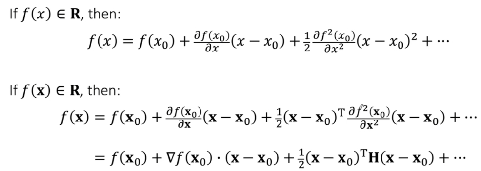
Taylor Expansion 泰勒展开 对 x0 进行泰勒展开,即 x0 处的值 + 不断地使用梯度逼进

对称且正定在这的二阶项说明二阶项一定是正的
向量模长对向量的求导,即向量长度的梯度,即沿着向量方向的单位向量

弹簧

H 矩阵是 Tangent stiffness 胡可系数 弹簧对 x 的方程是能量 对 x 的一阶导结果是力, 对 x 的二阶导是胡可系数,力函数的切向量。
两个点的弹簧

最后更新于
这有帮助吗?